Crossley Group University of Sydney Homepage
 

Recent Publications (post 1996)

2011  >>  2010  >>  2009  >>  2008  >>  2007 >>  2006  >>  2005  >>  2004  >>  2003 - 1997                                                                     >> Thesis Titles

 

2009

178. George Huyang, John Canning, Brant C. Gibson, Tony Khoury, Tze Jing Sum, Chiara Neto, and Maxwell J. Crossley,
Focused Ion Beam Processing and Engineering Devices in Self-Assembled Supramolecular Structures, Nanotechnology, 2009, 20, 485301/1-6. DOI: 10.1088/0957-4484/20/48/485301.

* * * * *

177. Josie E. Auckett, Yuen Yap Cheng, Tony Khoury, Raphaël G. C. R. Clady, Nicholas J. Ekins-Daukes, Maxwell J. Crossley and Timothy W. Schmidt,
Efficient up-conversion by triplet-triplet annihilation, J. Phys.: Conf. Ser., 2009, 185, 012002/1-4. DOI: 10.1088/1742-6596/185/1/012002.

* * * * *

176. Canning, J., Gibson, B., Huyang, G., Khoury, T., Sum, T.J., Neto, C., Crossley, M.J., Processing waveguide photonic components into self-assembled organic films, 14th OptoElectronics and Communications Conference (OECC), 2009, art. no. 5215355. DOI:10.1109/OECC.2009.5215355.

* * * * *

175. Canning, J., Huyang, G., Gibson, B.C., Neto, C., Khoury, T., Martelli, C., Skivesen, N, Sum, T.J., Kristensen, M., Crossley, M.J., Supramolecular porphyrin wires and post-processing, 14th OptoElectronics and Communications Conference (OECC), 2009, art. no. 5218375. DOI: 10.1109/OECC.2009.5218375

* * * * *

174. Kei Ohkubo, Rachel Garcia, Paul J. Sintic, Tony Khoury, Maxwell J. Crossley, Karl M. Kadish and Shunichi Fukuzumi,
Change in Site of Electron-Transfer Reduction of a Zinc-Quinoxalinoporphyrin/Gold-Quinoxalinoporphyrin Dyad by Binding of Scandium Ion and the Resulting Remarkable Elongation of the Charge-Shifted-State Lifetime, Chem. Eur. J., 2009, 15, 10493-10503. DOI: 10.1002/chem.200901105.

* * * * *

173. Bas Hulsken, Johannes A. A. W. Elemans, Jan W. Gerritsen, Tony Khoury, Maxwell J. Crossley, Alan E. Rowan, Roeland J. M. Nolte and Sylvia Speller,
STM studies of the self-assembly of manganese porphyrin catalysts at the Au(111)-n-tetradecane interface, New J. Phys., 2009, 11, 083011/1-14. DOI: 10.1088/1367-2630/11/8/083011.

* * * * *

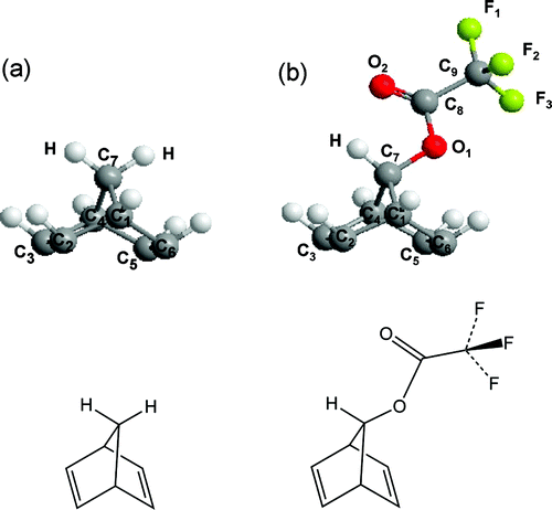
172. Sherin A. Saraireh, Phillip V. Smith, Bruce V. King, Jeffrey R. Reimers, Brian J. Wallace and Maxwell J. Crossley,
Norbornadiene-Based Molecules for Functionalizing the Si(001) Surface, J. Phys. Chem. C, 2009, 113, 16094-16103. DOI: 10.1021/jp903481w.

* * * * *

171. Reimers, Jeffrey R.; Lee, Sai H.; Larsen, Allan G.; Kotani, Hiroaki; Ohkubo, Kei; Fukuzumi, Shunichi; Crossley, Maxwell J., The nature of long-lived photo-induced charge separation in ferrocene-porphyrin-fullerene molecules, From Abstracts of Papers, 238th ACS National Meeting, Washington, DC, United States, August 16-20, 2009, PHYS-211.

* * * * *

170. Benjamin C.-M. Yap, Grace L. Simpkins, Charles A. Collyer, Neil Hunter and Maxwell J. Crossley,
Porphyrin-linked Nitroimidazole Antibiotics Targeting Porphyromonas gingivalis, Org. Biomol. Chem., 2009, 7, 2855-2863. DOI: 10.1039/b904340c.


* * * * *

169. James A. Hutchison, Paul J. Sintic, Peter R. Brotherhood, Colin Scholes, Iain M. Blake, Kenneth P. Ghiggino, Maxwell J. Crossley,
Control of Photoinduced Charge Transfer Lifetimes in Porphyrin Arrays, J. Phys. Chem. C, 2009, 113, 11796-11804. DOI: 10.1021/jp9018553.

* * * * *

168. Tony Khoury and Maxwell J. Crossley,
Expansion of the Porphyrin π-System: Stepwise Annelation of Porphyrin β,β'-Pyrrolic Faces Leading to Trisquinoxalinoporphyrin, New. J. Chem., 2009, 33, 1076-1086. DOI: 10.1039/b901338e.

* * * * *

167. James A. Hutchison, Paul J. Sintic, Maxwell J. Crossley, Toshihiko Nagamura, and Kenneth P. Ghiggino,
The Photophysics of Selectively Metallated Arrays of Quinoxaline-Fused Tetraarylporphyrins, Phys. Chem. Chem. Phys., 2009, 11, 3478-3489.  DOI: 10.1039/b820969c.

* * * * *

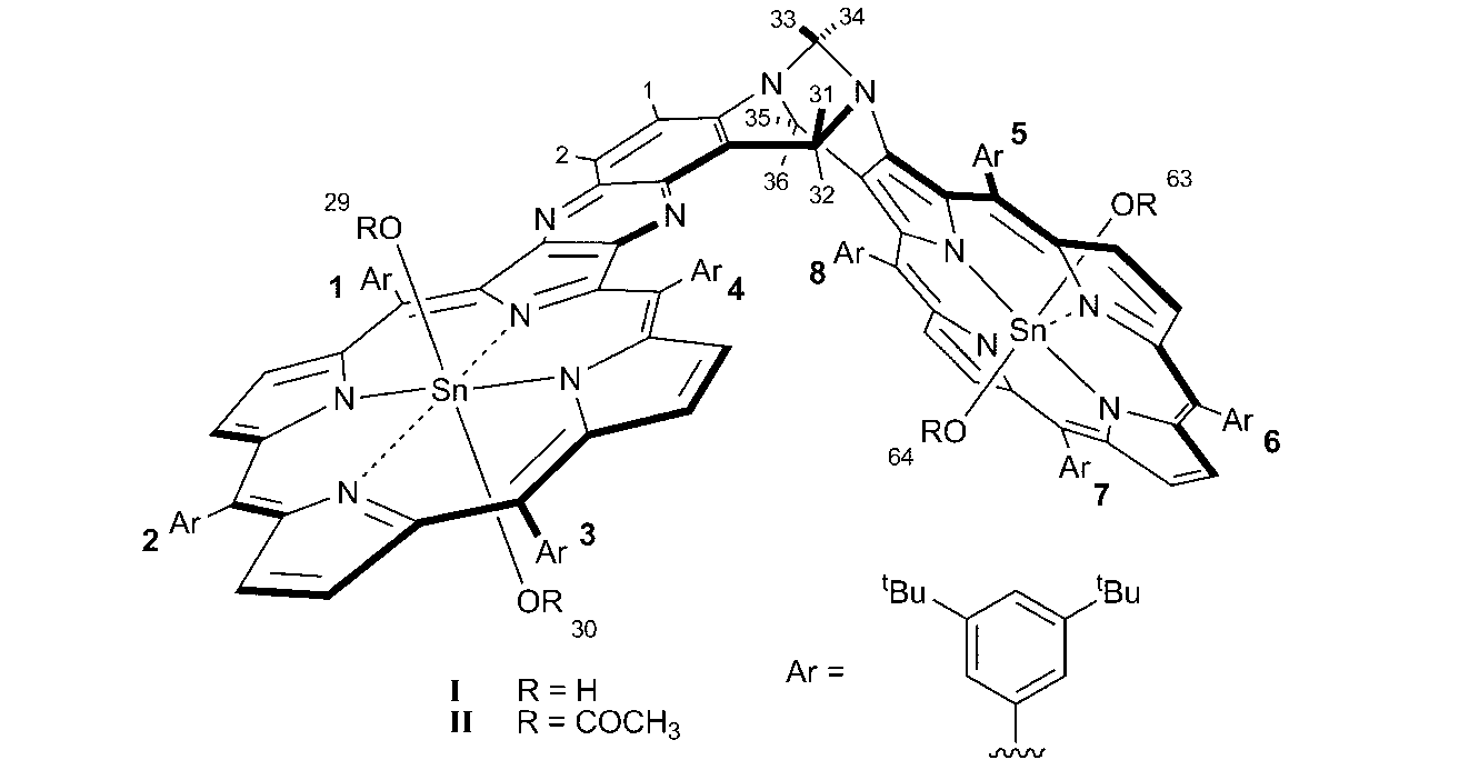
166. Peter R. Brotherhood, Ian Luck, and Maxwell J. Crossley,
Complete 1H and 119Sn NMR Spectral Assignment for an Asymmetric Di[dihydroxotin(IV)] Bis-porphyrin Supramolecular Host and its Corresponding Tetraacetato Complex, Magn. Reson. Chem., 2009, 47, 257-262. DOI: 10.1002/mrc.2356.

* * * * *

165. Cicero Martelli, John Canning, Jeffrey R. Reimers, Maxine Sintic, Danial Stocks, Tony Khoury, and Maxwell J. Crossley,
Evanescent-Field Spectroscopy using Structured Optical Fibers: Detection of Charge-Transfer at the Porphyrin-Silica Interface, J. Am. Chem. Soc., 2009, 131, 2925-2933. DOI: 10.1021/ja8081473.

 

<< Back

 

^ Back to top

 

School of Chemistry, Building F11, The University of Sydney,
NSW 2006, Australia
Ph: + 61 2 9351 2751; Fax: + 61 2 9351 3329